|
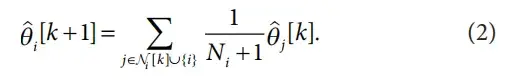
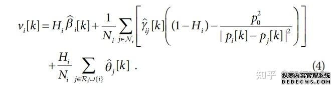
摘要:近年来,群体机器人技术得到了迅速发展,这主要得益于为实现特定集体行动而开发的专用群体机器人系统。一般来说,这些专用平台在设计时就将群体特性置于核心位置。群体运作所需的关键硬件和软件元素往往深度嵌入并整合到特定系统中。然而,鉴于市面上低成本移动机器人的数量显著增加,从业者和爱好者可能会考虑通过对这类移动平台进行最小程度的改造,配备群体赋能技术,来组建成熟的机器人群体。在此,我们报告了这种技术的一种可能体现形式——硬件和软件的集成组合,旨在使一系列通用机器人系统能够组建和研究群体行为。这是通过将模块化且可移植的软件工具箱与由一系列低成本、现成组件组成的硬件套件相结合来实现的。所开发的技术可以移植到相对广泛的机器人平台,如陆地和水面交通工具,只需进行最小的改动,且具有高度的可扩展性。这种群体赋能技术已成功应用于两个不同的分布式群体机器人系统,一个是移动海洋浮标群体,另一个是商用地面机器人团队。我们在不受控制的环境中,在没有任何支持基础设施的情况下,测试了这两种分布式机器人系统在执行集体探索和搜索场景以及其他经典协作行为方面的有效性。文中报告了这两个平台在不同群体行为上的实验结果。相关软件库的设计允许无缝切换到其他协作行为,例如领导者-追随者航向一致性和避碰,还提供了在将新设计的集体行为应用到平台之前进行模拟的可能性。这一特性极大地促进了基于行为的设计,即新群体行为的设计,并且可以在实际测试之前对其进行模拟。 01 简介 群体机器人系统由具有局部感知和通信能力的自主机器人组成,缺乏集中控制或全局信息访问能力,处于可能未知的环境中执行集体行动。根据这一定义,人们可以很容易地将群体机器人系统与其他群体机器人方法区分开来。 群体机器人系统在计算、通信和/或操作层面缺乏某种形式的去中心化并不罕见。群体机器人系统的灵感通常来自自然系统,在这些系统中,大量简单的个体通过彼此之间以及与环境之间的反复局部交互,表现出复杂的集体行为,例如鱼群、鸟群。群体机器人设计范式使群体机器人系统能够克服上述限制(局部感知、缺乏集中控制等),并以协调的方式自主运行。 人工群体的一个主要挑战是设计这样的系统:在保持去中心化控制的同时,个体能够(i)通过感知获取局部信息,(ii)与至少一部分个体进行通信,(iii)基于动态收集的感知数据做出决策。虽然去中心化使个体无法获得大型中央计算和/或通信枢纽带来的好处,但它为系统提供了鲁棒性。因此,该系统能够在广泛的群体规模(可扩展性)下执行全局集体行动,尽管可能突然失去多个个体(鲁棒性),并且在未知和动态环境下(灵活性)也能正常工作。 已经有许多值得注意的设计机器人群体的努力。kilobit、e-puck、Swarm-bots、marXbot、Alice、iAnt、Scarab、I-Swarm、r-one和Pi Swarm只是已开发的不同群体/分布式群体机器人平台的几个例子。每个平台都探索了群体的一些潜在方面和可行性,但并非所有平台都满足机器人群体系统的所有要求(根据上述定义),或者能够在没有任何支持基础设施的真实和不受控制的环境中运行。每个平台上实现的技术进步使其难以移植到其他平台,因为每个机器人都有其特殊性。事实上,这些平台的设计核心考虑了群体特性。因此,实现群体行为所需的核心组件完全集成在机器人内部。此外,由于硬件和软件的原始协同设计过程,软件层通常高度依赖于硬件规格。尽管这种缺乏模块化的深度技术集成提供了易于形成群体的平台,但也严重阻碍了其向其他移动平台的移植。 拥有现有自主机器人平台(包括商用平台)多个单元并希望研究群体行为的从业者,目前别无选择,只能设计自己的定制框架。一些研究小组使用的一种常见替代方案是,简单地设计可以通过现有的商用群体机器人平台(例如kilobot、e-puck等)实现的群体实验。尽管这种替代方案的优势在于可以利用经过充分测试的平台,从而节省大量时间,但它仍然限制了设计极具原创性实验的能力。我们提出的技术解决方案旨在通过提供一个与平台无关的框架(硬件套件与软件层的集成组合)来填补这一空白,该框架易于移植到大量硬件平台,便于各种群体算法的实现,同时减轻与平台相关的接口负担。 在此,我们报告了一种统一的、与平台无关的硬件/软件工具,它能够:(i)将一组基本移动机器人组装和转变为成熟的群体;(ii)使用易于编程的软件库实现多功能的群体行为。硬件套件和软件层的模块化特性允许该技术独立于移动平台的规格进行可能的演进、升级和扩展。我们展示了一些初步结果,验证了该技术在两个截然不同的群体系统上的有效性。这种群体赋能技术是硬件/软件的结合,允许广泛的群体机器人平台执行多功能且响应迅速的群体行为。这是通过为每个个体提供一个额外的接口硬件来实现的,该硬件由低成本的现成组件构建,并与专门开发的通用软件库集成。我们认为,这种将群体考虑与机器人考虑分离的技术可能会引起主要对人工群体研究感兴趣的研究人员和教育工作者的兴趣。 该软件采用Python编写,但也在C++中进行了测试,其设计具有模块化特点,以使该技术能够尽可能无缝地在不同平台之间移植,即只需进行最少的硬件/软件更改。为了评估所提出技术的有效性,我们在两个在不受控制环境中运行的不同平台上使用了它:一个差速驱动机器人和一个水面平台(传感移动浮标)。此外,在这些平台上测试了多种集体行为,如航向一致性、边缘防御和集体行进,从而证实了我们的群体赋能技术的多功能性。 02 材料和方法 为了实现群体行为,实现分布式通信和去中心化决策至关重要。例如,自然群体通过局部信号进行分布式信息交换,有时还结合复杂的信号机制和营养相互作用,从而实现自组织行为和去中心化决策。请注意,信号是指涉及感官能力的通信。群体机器人系统模仿自然群体,个体之间的通信仅限于通过短距离交互进行的局部信息交换。更一般地说,各个平台之间在空间和时间上的局部通信导致了分布式通信。因此,平台应该能够建立动态且可能切换的通信网络,并仅使用每个个体上的计算能力在本地处理信息。 2.1. 计算单元 大多数群体机器人平台的计算资源有限,仅能从机器人读取传感器数据并将其发送到远程中央单元。远程处理器根据其监督控制算法做出适当决策,并将命令发送回机器人。由于我们需要该技术能够轻松移植到许多不同的机器人平台,因此我们使用一个独立于机器人传感和驱动处理器的专用处理单元作为每个个体的“大脑”。在我们的设置中,计算由Raspberry Pi / BeagleBone完成,这些单板计算机(SBC)配备了多个多功能输入和输出。考虑到手头的任务,这两种SBC在其尺寸下提供了充足的计算资源。请注意,也可以考虑使用不同的SBC,例如Gumstix1来实现相同的目的。最近发布的Raspberry Pi “0”(分别为“3”)提供了一种低成本解决方案,尺寸为半信用卡大小(分别具有高计算能力和更多的接口可能性)。如果需要更高的计算能力,可以考虑Odroid SBC,或者最终考虑GIGABYTE。 该计算单元通过通信网络接收来自机器人的所有传感器数据和邻居的信息,以便基于群体算法做出适当的决策,该算法嵌入在下面详细介绍的软件工具包中;后一部分在任何集体操作之前预加载到每个平台上。 2.2. 分布式通信 从理论角度来看,即使在没有真实物理通信网络的情况下,例如鸟群和鱼群,也可以使用网络理论概念更好地分析和理解分布式通信。最近,对群体中此类信号网络的研究表明,网络需要特定的结构特性——在度分布、最短路径和聚类系数方面——以实现有效的共识达成动态以及通过给定的驱动个体子集对群体进行高度动态控制。 从实际角度来看,平台应该能够建立动态的,即切换的通信网络。最近,对群体中此类时间网络的研究表明,网络需要特定的结构特性——在度分布、最短路径和聚类系数方面——以实现有效的共识达成动态以及通过给定的驱动个体子集对群体进行高度动态控制。在mesh网络中,所有个体(从网络角度来看)都是相同的,可以直接与特定的邻居集(例如度量、拓扑、Voronoi邻域)交换信息,而无需涉及第三个个体或通过中央枢纽或路由器。这赋予了系统鲁棒性,因为假设节点在有限的通信范围内,一部分个体的丢失不会对其余个体的操作产生关键影响。这与星形网络配置形成鲜明对比,在星形网络中,路由个体的丢失将使整个系统的操作停止。如果个体在mesh网络中通信,但依赖中央计算枢纽来处理信息,情况也是如此,许多群体机器人系统实际上就是这种情况。 实现完全去中心化系统所需的关键组件是通信设备。我们使用XBee模块来建立mesh网络。通信网络基于度量交互,其中信息在彼此通信范围内的个体之间传递(通常视线范围内300米)。该设备配置为广播模式,每个个体发送的信息被通信范围内的所有邻居接收。通信范围取决于多种因素,例如模块的输出功率和阻挡射频波的障碍物类型。该群体赋能单元(SEU)的硬件框图如图1所示。 ![]() 这种动态和分布式通信网络的一个自然关注点是其在群体个体之间维持持续信息流的有效性。在BoB系统的群体实验中,浮标以0.1 Hz的频率连续广播其状态,对此进行了分析和量化。预期通信范围约为310米,这些模块能够通过网络中的多跳中继消息,这意味着原则上任何模块都可以向群体中的所有个体全局广播其状态。然而,我们的实验表明,当数十个浮标运行时,通信远非完美,有效通信范围明显更小。表1中给出了典型现场实验中成功通信的比例。这些结果提供了移动XBee单元的大型动态网络中有效通信范围的度量。随着部署的浮标数量增加,它们之间的干扰将导致更多消息丢失。这清楚地说明了为什么分布式控制算法的设计应能提供对不完善通信具有鲁棒性的集体行为。 ![]() 2.3. 协作控制策略 群体机器人系统要实现有效的集体行为,需要完全去中心化的控制算法。不同的科学界以不同的目的和目标对这种协作控制策略给予了特别关注:首先是计算机图形学领域,然后是物理学领域。控制领域随后建立了一个正式框架,群体机器人系统和群体机器人领域对其进行了实践和扩展。Virágh等建立了局部交互个体的动态更新规则与自主飞行机器人集群的协作控制策略之间的联系。生物学家和物理学家的大量研究活动推动了这一努力,他们试图确定个体层面的局部更新规则,这些规则导致了观察到的集体动物行为。这一获得的知识促成了新的受生物启发的协作控制策略设计方法。这种方法已成功在10架四旋翼飞行器的小集群上实现和测试,使用GPS进行定位,并采用与本文所报告的相同的分布式通信范式。使用Brambilla等引入的分类法,我们的去中心化协作控制策略遵循基于行为的设计方法,与Vicsek等类似。 下面,我们讨论在不同平台上编写和测试的几种群体算法。 2.3.1. 一致性 在一致性算法中,参与的个体寻求使其状态变量(在当前情况下是其航向)收敛到一个共同的值;后一个值不是先验已知的,完全是这种自组织过程的结果。 在集体运动的特定情况下,个体可以旨在对齐其行进方向,形成一个排列整齐、都朝着同一方向行进的个体群。另一个常见的例子是聚集。顾名思义,这种动态行为规则导致个体集体经历聚集过程。这种集体聚集在自然群体中极为常见且重要(例如昆虫和变形虫等微生物),在分布式群体机器人系统的某些现场部署阶段也非常有用。 记个体i可获得其信息的个体集合为N1,一致性协议可总结为: ![]() 其中, ![]() 是个体i在时间k的状态,αij[k]>0是期望的加权因子。 考虑航向 ![]() 并选择 ![]() 其中 Ni=|Ni|,方程(1)变为: ![]() 本质上,k+1时刻的目标航向定义为该个体自身及其邻居在k时刻的平均航向。该协议仅涉及局部信息交换,并且如果群体是连通的,则保证产生全局共同的一致性。 2.3.2. 周边防御 群体个体的周边防御或全面防御算法是指它们自组织以在未知的动态二维环境中最大化所覆盖的周边范围。为了通过局部信息传递获得这一结果,个体最大化它们与邻居之间的距离,给较近的个体更大的权重。这可以编码为动态规则: ![]() 其中 pi[k]=xi[k], yi[k]是个体i在时间k的笛卡尔坐标位置。在方程(3)中,目标航向从 pi[k+1]获得,其设计使得给较近的邻居更大的权重。请注意,方程(2)和(3)纯粹是马尔可夫的,仅涉及空间和时间上的局部信息,无需假设关于先前或未来状态的信息。因此,任何此类算法都具有内在的灵活性,因为群体可以在动态环境中运行。 2.3.3. 环境探索 为了进行环境探索,我们将航向一致性与修改后的吸引 - 排斥行为以及个体表现出的航向目标相结合。与周边防御不同,这里的目标是提供动态的二维空间覆盖,用于传感以及环境重建和预测目的。每个成员都有自主权偏离集体行为去调查周围环境,但仍保持基本的邻里互动。 群体内的自组装依赖于三个基本方面:邻居之间的平衡距离、质心(成员)和集体航向。个体根据pi[k+1]=pi[k]+δ vi[k]移动,其中vi[k]是个体i的缩放速度: ![]() 这里,朝向目标的方位向量为 ![]() 另外, ![]() 是个体i朝向个体j的方位角向量,θj是如前所述的个体j的航向。航向一致性是在距离个体i为p0的个体子集Ri上实现的,这使得航向一致性具有局部性。二进制航向一致性权重Hi决定了个体是朝着目标移动(Hi=1),还是纯粹相对于群体的其他成员定位自己(Hi=0)。通过将个体i(领导者)的位置设置为群体中其他个体的目标,建立领导者-追随者行为。γij的缩放因子受近距离的影响更大,从而导致强烈的排斥和避碰。当两个个体之间的距离为平衡距离p0时,γij的相应缩放因子为0。时间常数是一个取决于更新速率和整体速度缩放的参数。一般来说,公式[方程(4)]会产生类似网格的群体排列,并具有不同类型的避碰策略(见图3)。 ![]() ![]() 2.4. 机器人平台 我们在两个不同的平台上测试了该技术,详情如下。 2.4.1. eBot机器人 eBot是由EdgeBotix公司开发的商用小型差速驱动机器人,该公司是一家基于新加坡科技设计大学MEC实验室开发的研究机器人开发教育机器人的衍生公司。它配备了6个超声波或红外测距仪、惯性测量单元(IMU)、两个轮式编码器和两个光传感器(见图4)。该平台的最大速度为20厘米/秒。我们开发了一个扩展卡尔曼滤波器(包含在eBot的API中),基于其IMU和轮式编码器实时定位机器人。 ![]() 2.4.2. 自主水面航行器 “BoB”(即“浮标群”)系统是一个分布式群体机器人项目,基于麻省理工学院最初开发的用于执行集体环境传感的小型开发水面航行器(图5)。(50多个单元在现场测试中进行集体传感的视频可在线获取)。它配备了全球定位卫星(GPS)接收器、MEMS指南针和3轴加速度计。全向设计理念促成了矢量推进系统,实现了最大的灵活性和近乎瞬时的方向变化。该平台的最大速度可达1米/秒,尽管设计考虑更多的是定位而非运输。 ![]() 最后,浮标可以配备多个传感器以监测其环境。浮标群(BoB)(图6)不限于同质性,一些单元可以配备各种传感器,以提供关于周围水域的不同程度的信息。 ![]() 2.5. 软件 机器人控制、分布式通信管理和集体行为之间的联系是通过一个名为marabunta的Python模块建立的,我们设计该模块时考虑了群体行为的模块化开发,并强调在不同平台上的可移植性和易于部署性。 通过这个模块,与机器人的交互在低级别通过一个依赖于平台的类(个体的“身体”)进行抽象。同样,通信管理也由另一个低级别且依赖于平台的“网络”类处理。这两个类彼此独立,也独立于由“行为”类定义的群体的高级行为。 每个不同的机器人平台都需要自己的身体类。其设计基于这样的假设:运行代码的处理器有能力与机器人进行交互,以便(i)发送命令使其在空间中移动,(ii)请求这些用于单元定位所需的数据,以及(iii)访问机器人通过传感器套件收集的关于其局部环境的信息。群体赋能单元(简称SEU,如图1所示)不需要完全访问机器人的内部工作机制或深入了解其规格。例如,如果使用商用机器人,如eBot或e-puck,建立蓝牙连接并使用提供的API向机器人发送命令,就足以使用该技术部署机器人群体。marabunta中包含了eBot和e-puck的身体类。 个体之间的通信由一个单独的网络类处理。将其与身体控制分离,可以将不同的机器人平台与不同的通信协议配对。这种实现假设处理器有能力与通信模块交互,该模块能够(i)向附近的个体广播消息,以及(ii)读取其他个体广播的消息。通信模块无需能够处理定向通信或识别附近的节点。marabunta模块为Digimesh协议提供了一个网络类,因此,人们可以将XBee模块通过串行方式连接到运行该软件的计算机,从而利用现有技术实现个体之间的分布式通信。 群体的集体行为是个体行为的结果,个体行为在一个独立于硬件的单独行为类中实现。由于行为与所使用的机器人无关,该技术允许实现异构群体,其中不同的机器人执行前面部分描述的集体行为。此外,由于行为也独立于个体之间的通信,群体可以具有异构行为,其中不同的个体遵循不同的行为。一个用于实验异构群体的无障碍平台可以产生有趣的新型涌现行为,这些行为源于行为的组合(例如,将一定比例的执行一致性行为的个体与执行周边防御行为的个体相结合,会使群体分裂成子群体)。 该技术的模块化设计便于快速实验。人们可以使用包含的MockBody和MockNetwork通过模拟迭代设计集体行为。从那里,可以将身体更改为适当的机器人控制器,并通过单个中央控制终端进行一些初步测试(通过在终端中保留“模拟网络”)。 最后,通过为每个机器人配备具有所需行为的SEU和适当的通信模块,该系统就可以以真正去中心化的方式执行群体实验。 2.6. 集成 为了说明和例证我们的SEU的完整集成,我们在本小节中详细介绍了用于搜索和探索实验的实际实现,其结果在第3.2节中呈现。 自然的起点是将2.3.2节中描述的协作控制算法实现为一个行为类。通过生成一些关于墙壁和要定位的目标位置的人工数据,人们可以很容易地模拟群体的行为,并通过为行为提供MockBody和网络类来迭代算法的设计。对于搜索和探索实验,群体个体的行为由图2中呈现的更新规则定义。该图强调了与身体、网络和行为类中实现的方法的依赖关系。 通过模拟迭代行为设计后,我们为10个eBot机器人配备了“群体赋能单元”(SEU),该单元由加载了Python和marabunta模块的Raspberry Pi、XBee模块、蓝牙模块和电源组组成。要操作这些机器人,必须建立蓝牙连接,并通过其专用的Python API发送简单命令(例如以特定功率激活轮子或读取每个传感器的值)。在实践中,为eBot实现身体类就是扩展所提供的API,以获得一个全面的接口来与机器人交互,并以方便的、与硬件无关的格式返回传感器数据(例如,给出检测到的障碍物的估计坐标,而不是原始传感器数据)。 对于这类实验,不需要通信模块的大部分功能;XBee可以设置为透明模式,纯粹通过串行连接写入要发送的消息和读取接收到的消息来进行接口连接。这使得XBee模块的网络类实现相当简单。该类的主要任务是转换接收到的消息并适当地构建这些数据,以便模块的其他元素可以访问它。 通过将MockBody切换为eBotBody,并将MockNetwork切换为XbeeNetwork,用于模拟的代码可以在SEU上运行,使群体自主执行搜索和探索。 03 结果 3.1. 周边防御 图7显示了关于2.3.2节中讨论的不同数量机器人的周边防御算法的实验结果。在图7A-D中可以观察到群体算法的动态决策特征。每个个体根据从网络中其他个体接收到的信息决定其目标航向。因此,不同数量的机器人的目标方向差异很大。我们还注意到,群体最重要的特征之一是其可扩展性。从图7中可以观察到这一特征,当机器人数量从10个减少到5个时,群体仍然能够以最佳方式覆盖周边。在实验过程中强制移除多个单元的相同场景中测试了鲁棒性。在这种情况下,整个群体会对这种变化做出动态反应,并试图覆盖被移除的机器人本应覆盖的区域。如前所述,群体算法的马尔可夫性质使群体能够即时适应环境或配置的任何变化,包括个体的添加或移除以及实验场所的修改。 ![]() 3.2. 搜索与探索 第二个实验是关于搜索和探索任务,其中机器人试图集体在环境中找到目标。在我们的设置中,目标是未知环境中的光源。该实验分为两个阶段:(i)机器人执行周边防御,直到有一个机器人找到光源并将目标位置通知其邻居;(ii)机器人在空间中集合,集体导航到检测到的光源位置。该算法在多达10个eBot机器人上进行了测试。我们为每个数量的个体运行了十次实验,以更好地量化群体行为的有效性。图8显示了收敛速度——找到目标并导航到其位置所需时间的倒数——与机器人数量的关系。从图8中图表的上升趋势可以看出群体的可扩展性:在大多数情况下,在实验中加入更多的个体会加快搜索和探索任务。相同的实验被扩展到允许14个机器人在5个不同的房间中群体行动。 ![]() 3.3. 航向一致性 图9展示了使用10个个体的2.3.1小节中讨论的航向一致性算法的实验结果。该实验包括两部分:(1)具有随机初始航向的机器人收敛到共同的航向;(2)强制一个机器人不遵循群体航向。这可以解释为领导者 - 追随者配置,其中被强制的机器人扮演群体中的领导者角色,并迫使群体跟随其航向。 ![]() 3.4. 聚集与领导者-追随者 图10显示了45个浮标群体的聚集行为的一些初步结果,图11显示了根据方程(4)的领导者 - 追随者行为的结果。对于聚集测试(Hi≡0, i=1, ..., N),浮标最初以松散的排列自组装,然后平衡距离p0减小;通过增大p0进行扩散。对于领导者 - 追随者行为(Hi≡1, i=1, ..., N),一个浮标沿着给定路径行驶,其位置被作为群体中所有其他浮标的目标。实验表明,网格状排列是持久的。他们进一步证实,mesh网络策略对于这种规模的群体具有稳健的可扩展性。 ![]() ![]() 04 结论 在本文中,我们介绍了集成硬件和软件工具的设计,这些工具使广泛的群体机器人系统能够以完全分布式的方式集体运行。尽管我们提出的群体赋能技术需要一些工作来开发与所选移动平台的基本接口,但它仍然提供了一个通用框架,可以从几乎任何一组移动机器人组装成熟的群体。如前所述,并在e-puck的特定情况下所示,这种基本接口可以非常简单且易于实施。特别是,该技术为机器人平台增加了去中心化特性,这是群体和分布式机器人系统中的关键元素。软件库的模块化设计允许将硬件工具包快速转移到截然不同的平台上。此外,这种群体赋能技术的整体模块化设计便于根据任何给定群体实验的特定要求进行未来的升级和演进,例如更强大的计算单元来运行需要实时机器学习的群体行为。我们报告了在配备这种群体赋能技术的陆地和水面平台上各种群体算法的实验结果。 未来的研究方向是在软件库中包含更多的群体算法,并在将新设计的集体行为应用到平台之前能够对其进行模拟。这一特性极大地促进了新群体行为的设计和测试。最后,鉴于我们的群体赋能技术可以与许多不同的移动机器人无缝协作,因此它应该有助于异构群体的研究。 智行时代编者:AutoGo 原文作者:Mohammadreza Chamanbaz,David Mateo,Brandon M. Zoss,Grgur Tokic,Erik Wilhelm,Roland Bouffanais,Dick K. P. Yue(免责声明:文中观点仅供分享交流,文章版权及解释权归原作者及发布单位所有) (责任编辑:admin) |





















